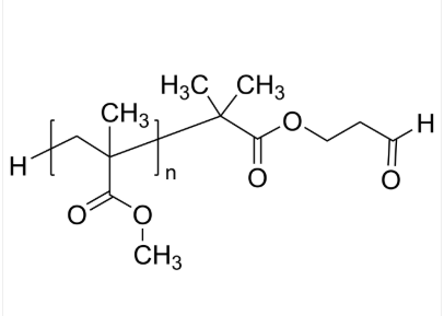
PMMA-CHO 聚甲基丙烯酸甲酯-醛基 Poly(methyl methacrylate), ω-aldehyde-terminated
常常分类:聚甲基丙烯酸酯甲酯-醛基英文字母简称为:PMMA-CHO英文音标称怎么读:Poly(methyl methacrylate), ω-aldehyde-terminatedCAS号:n/a; PMMA: 9011-14-7团伙式:H[C5H8O2]nC7H11O3主链框架:直链均聚物具体材料:PMMA亲疏水:疏水好产产品类别型:端基功用化掩盖低氧分子荧光/发光字:无外在/状态:固态硬盘粉末状或顆粒(以具体外在应写)色度:≤ 100%构成式:



pg电子娱乐游戏app
微信公众号
官方微信