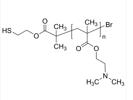
PDMAEMA-2S 聚甲基丙烯酸二甲氨基乙酯 链中间为二硫键 Poly(N,N-dimethylaminoethyl methacrylate), with disulfide
中文英文名称:聚甲基亚克力二甲氨基乙酯日文也叫:PDMAEMA-2S英文怎么说简称:Poly(N,N-dimethylaminoethyl methacrylate), with disulfide group in center of polymer chainCAS号:n/a; PMA: 9003-21-8; PEMA: 9003-42-3分子结构式:Br[C8H15O2N]nBr主链结构特征:直链均聚物重点组分:PDMAEMA亲疏水性聚氨酯:疏水软件类形:链之间体现蒙题子荧光/夜光:无颜色/基本特征:固态硬盘安装粉沫或科粒(以事实颜色为界)纯净度:≤ 100%成分式:



pg电子娱乐游戏app
微信公众号
官方微信