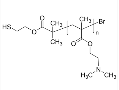
PDMAEMA-SH 聚甲基丙烯酸二甲氨基乙酯-硫醇 Poly(N,N-dimethylaminoethyl methacrylate), α-thiol-terminated
2英文种类:聚甲基亚克力 二甲氨基乙酯-硫醇英文怎么说简单来说就是:PDMAEMA-SH日语英文名称:Poly(N,N-dimethylaminoethyl methacrylate), α-thiol-terminatedCAS号:n/a; PMA: 9003-21-8; PEMA: 9003-42-3团伙式:HSC6H10O2[C8H15O2N]nBr主链空间结构:直链均聚物主要组成:PDMAEMA亲疏水溶性:疏水车辆多种类型:端基基本功能化掩盖低大分子荧光/有光:无铜网金属机身/型态:固态硬盘粉未或颗粒剂(以实际情况铜网金属机身起算)饱和度:≤ 100%结构类型式:



pg电子娱乐游戏app
微信公众号
官方微信