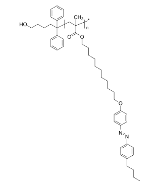
PAzoMA-OH 聚(11-[4-(4-丁基苯基偶氮)苯氧基]-十一烷基甲基丙烯酸酯)-羟基
中文名字字明称:聚(11-[4-(4-丁基苯基偶氮)苯氧基]-国庆烷基甲基丙稀酸酯)-羟基英文怎么说英文缩写:PAzoMA-OH英语怎么说它的全称:Poly(11-[4-(4-butylphenylazo)phenoxy]-undecyl methacrylate), α-hydroxy-terminatedCAS号:n/a; PMA: 9003-21-8原子核式:HOC17H18[C31H44N2O3]n主链型式:直链均聚物包括材料:PAzoMA亲疏水溶性:疏水的产产品类别型:链端羟基满分子结构荧光/发光字广告:无看/姿态:固体粉状或顆粒(以其实看时以)溶解度:≤ 100%形式式:

![PAzoMA-OH 聚(11-[4-(4-丁基苯基偶氮)苯氧基]-十一烷基甲基丙烯酸酯)-羟基-UDP糖丨MOF丨金属有机框架丨聚集诱导发光丨荧光标记推荐西安pg电子娱乐游戏app
生物](/images/logo.png)

pg电子娱乐游戏app
微信公众号
官方微信