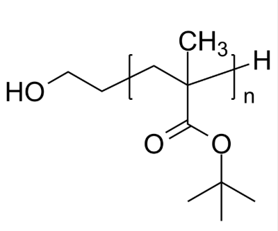
PtBuMA-OH 聚甲基丙烯酸叔丁酯-羟基 Poly(tert-butyl methacrylate), α-hydroxy-terminated
常常称谓:聚甲基亚克力 叔丁酯-羟基因为统称:PtBuMA-OH英语怎么说全名是:Poly(tert-butyl methacrylate), α-hydroxy-terminatedCAS号:n/a; PtBuMA: 25189-00-8团伙式:HOC2H4[C8H14O2]nH主链形式:直链均聚物常见化学物质:PtBuMA亲疏水:疏水护肤类目型:链端羟基蒙题子荧光/放光:无铜网外装/特性:固态硬盘粉末状或颗料(以现实铜网外装算起)纯净度:≤ 100%成分式:



pg电子娱乐游戏app
微信公众号
官方微信