SiN-PtBuMA-SH 氨基(端基保护)-聚甲基丙烯酸叔丁酯-硫醇 Poly(tert-butyl methacrylate)
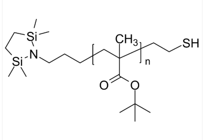
常常品牌:氨基(端基守护)-聚甲基亚克力叔丁酯-硫醇日语通称:SiN-PtBuMA-SH英语被称为:Poly(tert-butyl methacrylate), (α-amino [protected end-group], ω-thiol)-terminatedCAS号:n/a; PtBuMA: 25189-00-8原子核式:C2H4Si2NC3H6[C8H14O2]nC2H4SH主链型式:直链均聚物核心有效成分:PtBuMA亲疏水性聚氨酯:疏水產类别型:端基模块化突显得分子式荧光/荧光:无外在设计/姿态:nvme固态粉状或颗粒肥料(以实计外在设计为基准)饱和度:≤ 100%构造式:



pg电子娱乐游戏app
微信公众号
官方微信