岩藻多糖-透明质酸 Fucoidan-Hyaluronicacid 透明质酸-PEG-岩藻多糖
岩藻多糖-公开度质酸 Fucoidan-Hyaluronicacid 公开度质酸-PEG-岩藻多糖
2英文英文名称:岩藻多糖-通透质酸
日语称呼:Fucoidan-Hyaluronicacid
又称:半透质酸掩盖岩藻多糖,HA-岩藻多糖
色度:95%+
内存先决条件:-20°C,阴凉,避湿
美观:混合物或粘结性流体,决定于氧分子量
PEG原子量可以选择:350、550、750、1k、2k、34k、5k
包裝:单瓶/整袋
消融性:溶解于大有一部分有机肥料高沸点溶剂,如:DCM、DMF、DMSO、THF这些。在水含有特别好的溶解性性
需注意装修细节:取出必然要晾干,防止出现次数的溶解性和冻干
IP地址:山东
加工厂:绵阳pg电子娱乐游戏app 动物
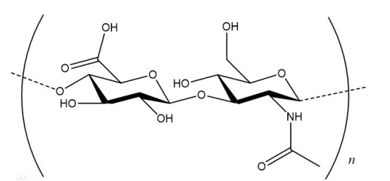
黑色质酸,叫做薇女坊高,团伙式是(C14H21NO11)n,是D-岩藻多糖醛酸及N-乙酰葡糖胺组成的双糖单位糖胺聚糖。西安pg电子娱乐游戏app 生物还可以提供PEG接枝修饰岩藻多糖,岩藻多糖-聚乙二醇-透明质酸,Hyaluronicacid-PEG-Fucoidan,透明质酸-PEG-岩藻多糖

氟化硼二吡咯-PEG-岩藻多糖
IR825荧光有机染料-PEG-岩藻多糖
血卟啉单甲醚-PEG-岩藻多糖
二氢卟吩-PEG-岩藻多糖
二硬脂酰基磷脂酰无水乙醇胺-PEG-岩藻多糖
二棕榈酰基磷脂酰工业乙醇胺-PEG-岩藻多糖
二油酰基磷脂酰甲醇胺-PEG-岩藻多糖
二肉肉豆蔻酰基磷脂酰乙酸乙酯胺-PEG-岩藻多糖
二月桂酰基磷脂酰酒精胺-PEG-岩藻多糖
氰血尿酸-PEG-岩藻多糖
四甲基罗丹明-PEG-岩藻多糖
6-羧甲基荧光素-PEG-岩藻多糖
异硫氰基荧光素-PEG-岩藻多糖
荧光活性染料CY3-PEG-岩藻多糖
菁有机染料CY5-PEG-岩藻多糖
近红外有机染料CY5.5-PEG-岩藻多糖
服务商:北京pg电子娱乐游戏app 海洋生物科学技术创新十分有限新公司上面信息源自楼主axc,2022.11.28左右这段话提升的成品仅代替科技创新,并不能代替人的身体。

pg电子娱乐游戏app
微信公众号
官方微信