PnBuA-OH 聚丙烯酸正丁酯-羟基 Poly(n-butyl acrylate), α-hydroxy-terminated
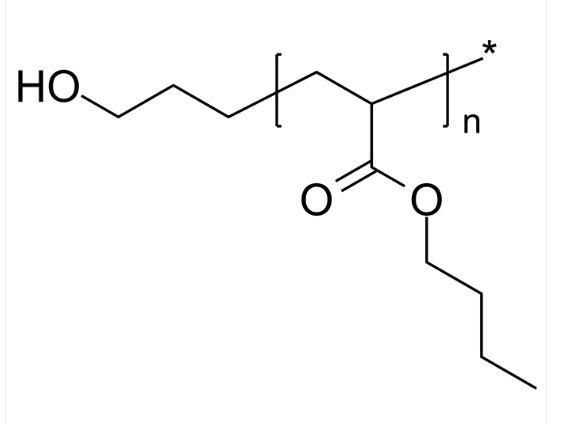
中文版明称:聚亚克力正丁酯-羟基英文音标简称为:PnBuA-OH日语英文名称:Poly(n-butyl acrylate), α-hydroxy-terminatedCAS号:n/a; PnBuA: 9003-49-0氧分子结构:[C7H12O2]nC3H6OH主链构造:直链均聚物关键因素:PnBuA亲疏丙烯酸乳液:疏水产品设备型号:链端羟基比较高的分数子荧光/荧光:无看/形状:固体粉丝或粒子(以实际情况看算起)溶解度:≤ 100%组成部分式:



pg电子娱乐游戏app
微信公众号
官方微信