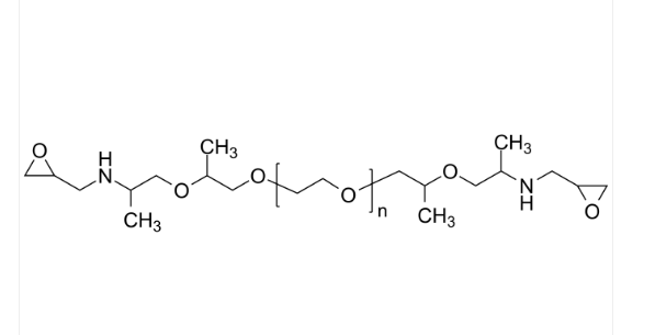
PEG-2Epoxy 聚乙二醇-双环氧基 Poly(ethylene glycol), α,ω-bis(epoxy)-terminated
2英文称谓:聚乙二醇-双固化剂基英语怎么说全称:PEG-2Epoxy用英文怎么说全程:Poly(ethylene glycol), α,ω-bis(epoxy)-terminatedCAS号:n/a; PEG: 25322-68-3原子核式:C9H18O3[C2H4O]nC9H18O2主链构造:直链均聚物基本有效成分:PEO/PEG亲疏水溶性:亲水新产种品类:端基实用功能化遮盖夺分子结构荧光/会亮:无外部/姿态:固定纳米银溶液或颗粒剂(以合理外部是以)饱和度:≤ 100%组成部分式:



pg电子娱乐游戏app
微信公众号
官方微信