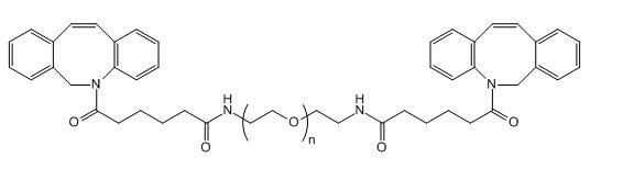
DBCO-PEG-DBCO/二苯基环辛炔-聚乙二醇-二苯基环辛炔/分子量:1k,2k,3.4k,5k,10k,20k(可按需定制)
日语名号:DBCO-PEG-DBCO2英文英文名称:二苯基环辛炔-聚乙二醇-二苯基环辛炔团伙量:1k,2k,3.4k,5k,10k,20k(可按需订制)产品品质把控好:95%+内存前提:-20°C,阴凉,避湿用 途:仅限于科研课题科学实验使用的,不需要 于治疗外 观:浓稠药液和膏状粉尘,衡量于碳原子量主意常见问题和注意事项:运用务必要干燥处理,制止频密的分解和冻干容解完性:容解于大局部生物碳石油醚,如:DCM、DMF、DMSO、THF一系列。在水有非常好的的容解完性的结构简式:



pg电子娱乐游戏app
微信公众号
官方微信