Eu(TTA)3phen稀土铕配合物,有机-无机杂化配合物发光材料
Eu(TTA)3phen稀士铕密切密切配合物,有机会-有机杂化密切密切配合物亮光物料
杭州pg电子娱乐游戏app 生物技术社会有现集团是微电子建筑材料提供商,咸阳pg电子娱乐游戏app 海洋生物能够 具备各式各样基础条件金属质积极结合物荧光物料(铕Eu 铱Ir、钌Ru、钴、镍Ni、铕Eu、钯Pd、铽Tb、Zn2+、Cu+铜、Ag银、金Au)等產品或设计-高分子杂化积极结合物荧光物料,均有外盘,下单请质询。
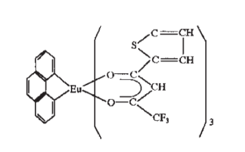
稀士铕密切配合物Eu(TTA)3phen格局式

详情:将稀土矿积极配合物Eu(TTA)3phen分布于异丙醇中,顺利通过蛋白质水解正硅酸乙酯(TEOS)的技巧制作了新荧光相关材料二腐蚀硅围绕稀士能默契听取默契物SiO2/Eu(TTA)3phen.荧光光谱图反映出二腐蚀硅围绕后的稀士能默契听取默契物荧光标准扩大了已近好几倍,同样,发掘Eu3+在617.4nm周围的发射成功峰开始十分粗糙,而私自二腐蚀硅围绕的Eu(TTA)3phen在617.4nm周围只不过十分不非常明显的肩峰.这说言简意赅二腐蚀硅围绕稀士能默契听取默契物后,Eu(TTA)3phen的型式特征开始相对刚度化,导致得出结论荧光标准改善.荧光平均使用年限實驗毕竟反映出二腐蚀硅围绕后的稀士能默契听取默契物平均使用年限下降,这该是伴随稀士能默契听取默契物原子型式特征刚度化出现的。
有关于产品的目录格式:聚[双(4-苯基)(2,4,7-三甲医院基 苯基)胺]cas:1333317-99-9;PTAA
cas:1100243-40-0 PNDI-2T,N2200
AQ(PhDPA)
1416881-55-4 4CzTPN-Ph
Tri-PXZ-TRZ
正辛醇心轴被淘汰硅酞菁
三(二苯甲酰甲烷气体)单(5-氨基-1,10-菲罗啉)铕(III)
三联吡啶羧酸三氯化铕
Eu(TTA)3phen
多羟胺Zr协调物等金属件结合物
产品:银川pg电子娱乐游戏app 生物技术科技企业非常有限企业之上质料存在我axc,2022.11.23大于本文讲过的的产品仅用到科技,无法用到体内。

pg电子娱乐游戏app
微信公众号
官方微信