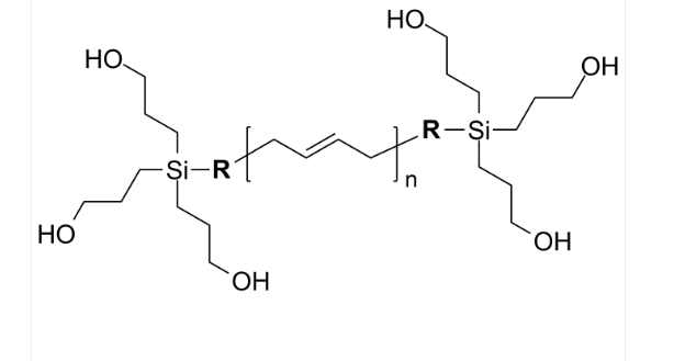
PBd-6OH 聚(1,4-丁二烯)-双三[羟丙基]-硅烷 Poly(1,4-butadiene), α,ω-bis(tri[hydroxypropyl]-silane)-terminated
繁体中文命名:聚(1,4-丁二烯)-双三[羟丙基]-硅烷用英文怎么说代称:PBd-6OH因为全名是:Poly(1,4-butadiene), α,ω-bis(tri[hydroxypropyl]-silane)-terminated英语翻译别号:Polybutadiene, bis(tri[hydroxypropyl]-silane)-terminatedCAS号:n/a; PBd: 9003-17-2碳原子式:(C4H6)n6OH主链机构:直链均聚物其主要组成:PBd亲疏水性树脂:疏水商品项型:链端羟基100原子荧光/发光字广告:无金属机身/型态:Viscous liquid色度:≤ 100%结构类型式:

![PBd-6OH 聚(1,4-丁二烯)-双三[羟丙基]-硅烷 Poly(1,4-butadiene), α,ω-bis(tri[hydroxypropyl]-silane)-terminated-UDP糖丨MOF丨金属有机框架丨聚集诱导发光丨荧光标记推荐西安pg电子娱乐游戏app
生物](/images/logo.png)

pg电子娱乐游戏app
微信公众号
官方微信