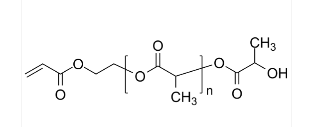
PLA-Acr | PDLLA-Acr 聚丙交酯(聚乳酸)-丙烯酰氧基 生物降解高分子 Poly(lactide), α-acryloyloxy-terminated
2英文名稱:聚丙交酯(聚乳酸)-丙烯酰氧基用英文怎么说代称:PLA-Acr英文版它的全称:Poly(lactide), α-acryloyloxy-terminatedCAS号:n/a; Poly(L-lactide): 26161-42-2; Poly(D-lactide): 106989-11-1原子式:C3H3O2C2H4[C3H4O2]nC3H5O3主链构成:直链均聚物主耍材料:PLA亲疏丙烯酸乳液:疏水软件型号:生物学化学降解涨原子荧光/亮光:无外貌/行态:nvme固态金属粉或小粒(以具体情况外貌时以)含量:≤ 100%的化学结构式:



pg电子娱乐游戏app
微信公众号
官方微信