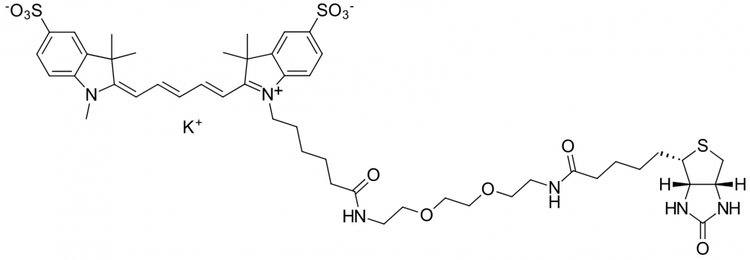
Sulfo-Cyanine5-PEG3-Biotin/磺酸基Cy5-三聚乙二醇-生物素
用英语英文名字称:Sulfo-Cyanine5-PEG3-Biotin2英文分类:磺酸基Cy5-三聚乙二醇-生物工程素团伙式:C48H65N6KO11S3大分子量:1037.36看:棕色粉末状溶解度 gt;95%融解性 :可溶解于氯仿,甲醇,乙腈,DMF等有机的相转移催化剂,可溶解于水维持因素 :背光,非常干燥,-20oC维持仅使用专业学习也可以制造业应用等非医疗卫生主要目的,不得使用我们或植物的临床药学就诊或诊疗,非中药,非吃一些架构式:



pg电子娱乐游戏app
微信公众号
官方微信