DSPE-PEG-OPSS/DSPE-PEG-PDP/磷脂-聚乙二醇-巯基吡啶
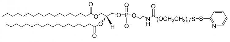
英文字母名字:DSPE-PEG-OPSSDSPE-PEG-PDP2英文种类:磷脂-聚乙二醇-巯基吡啶分子式量:1k,2k,3.4k,5k,10k,20k(可按需个性)性能掌控:95%+数据库状态:-20°C,背光,避湿用 途:未经许可科研开发實驗便用,都要于医治铜网外观: 物质或黏性固态,考量于氧分子量主意方式方法:提取必要要常温、干燥,以防不停的溶于和冻干分解性:混溶大一部分生物碳高沸点溶剂,如:DCM、DMF、DMSO、THF等一下。在水有特好的分解性拿取:现配在用,将包装机从电电冰箱中拿掉,放于晾干器中迟滞增至高温,浏览器打开瓶子,拿取。拿取后充进惰性气味,封膜膜封膜,锁紧瓶子置入自封袋,适时加入电电冰箱。节构式:



pg电子娱乐游戏app
微信公众号
官方微信