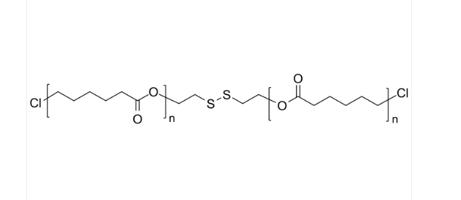
PCL-2Cl-disulf 聚己内酯-双氯 链中间为二硫键 生物降解高分子 Poly(ε-caprolactone), α,ω-bis(chloro)-terminated
中文字幕名号:聚己内酯-双氯 链中为二硫键英文音标简写:PCL-2Cl-disulf英文音标称怎么读:Poly(ε-caprolactone), α,ω-bis(chloro)-terminated; with disulfide group in center of polymer chainCAS号:n/a; PCL: 24980-41-4原子式:Cl[C6H10O2]nC2H4SSC2H4[C6H10O2]nCl主链结构特征:直链均聚物核心物质:PCL亲疏水性聚氨酯:疏水食商品型:生物学吸附得原子荧光/发光字广告:无看/姿态:固态硬盘安装粉化或科粒(以其实看为标准)饱和度:≤ 100%结构特征式:



pg电子娱乐游戏app
微信公众号
官方微信