PCL-vinyl 聚己内酯-丙烯酸酯 末端双键 生物降解高分子 Poly(ε-caprolactone), α-acrylate-terminated
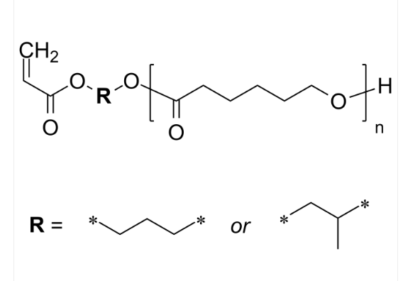
2英文种类:聚己内酯-丙烯酸酯酯 下端双键英文翻译名字简称:PCL-vinyl英文翻译被称为:Poly(ε-caprolactone), α-acrylate-terminatedCAS号:n/a; PCL: 24980-41-4分子结构式:C2H3COORO[C6H10O2]nH主链形式:直链均聚物通常基本成分:PCL亲疏水:疏水企业产不断研发创新型:微生物挥发比较高的分数子荧光/有光:无美观/要素:固态硬盘安装颗料或颗料(以实际上美观应写)溶解度:≤ 100%架构式:



pg电子娱乐游戏app
微信公众号
官方微信