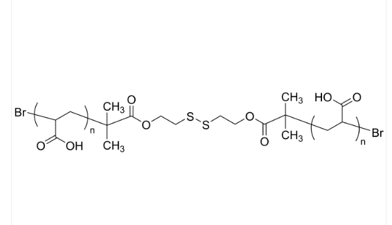
PAA-2SS | Br-PAA-Br 溴基-聚丙烯酸-溴基 链中间为二硫键 Poly(acrylic acid), with disulfide group in center of polymer
常常标题:溴基-聚丙烯酸酯-溴基 链期间为二硫键英文怎么说俗称:PAA-2SS | Br-PAA-Br英语怎么说被称为:Poly(acrylic acid), with disulfide group in center of polymer chain英语怎么说又名:α,ω-bis(Bromo)-terminated PAACAS号:n/a; PAA: 9003-01-4原子核式:Br[C3H4O2]nC3H6COOC2H4SSC2H4COOC3H6[C3H4O2]nBr主链组成部分:直链均聚物核心因素:PAA亲疏水溶性:亲水品牌分类:链其中装饰100大分子荧光/亮光:无美观/形态特征:nvme固态碎末或颗料(以实践美观来算)溶解度:≤ 100%构成式:



pg电子娱乐游戏app
微信公众号
官方微信