七十二烷基三硅醇|七十二烷基三硅醇笼形聚倍半硅氧烷|七十二烷基三硅醇-poss
七十二烷基三硅醇|七十二烷基三硅醇笼形聚倍半硅氧烷|七十二烷基三硅醇-poss
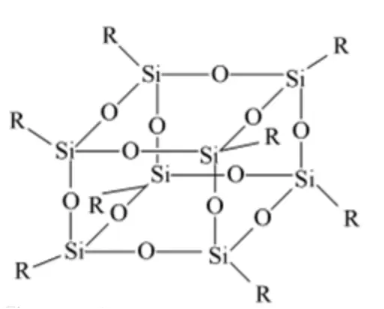
POSS身为一些新形可挥发物-硅化物纳米技术杂化相关的材料,因为其特异的无机化学组成和初中物理安全性能已经越来越遭受到宽泛关注度。这段话简略的介绍了POSS的进展发展、组成、本质特征,生成的方式以至于在可挥发物硅相关的材料中的利用科学研究。笼型聚倍半硅氧烷,日文称呼polyhedral oligomeric silsesquioxane,全称POSS,通式 (RSiO3/2)n,在其中R为8个顶角Si氧分子所衔接基团。POSS的类别多样,其特定區別主耍保证R基的的类别和位数,这样其应用超范围最广,称呼也是会按照R基的各种的取名字,举列当R基为丁二烯基、氨基、苯基时可主要称做丁二烯基POSS、氨基POSS和苯基POSS。简体中文简称:八十二烷基三硅醇笼形聚倍半硅氧烷简称为:七十五二烷基三硅醇-poss色度:98%设计:mg级和g级交期: 五天ip地址:郑州制造厂:昆明pg电子娱乐游戏app 生物工程创新科技限制公司的


pg电子娱乐游戏app
微信公众号
官方微信