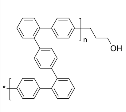
PPP-OH 聚(1,2-苯撑-co-1,4-苯撑)-羟基 导电高分子 Poly(1,2-phenylene-co-1,4-phenylene), α-hydroxy-terminated
汉语名稱:聚(1,2-苯撑-co-1,4-苯撑)-羟基用英语俗称:PPP-OH英语称怎么读:Poly(1,2-phenylene-co-1,4-phenylene), α-hydroxy-terminatedCAS号:n/a原子式:[C6H4]nC3H6OH主链结构特征:更迭共聚物一般成分表:PPP亲疏水溶性:疏水的产产品类别型:导电满分子式荧光/亮光:无美观/体型:固体粒子或粒子(以实际的美观算起)色度:≤ 100%组成部分式:



pg电子娱乐游戏app
微信公众号
官方微信