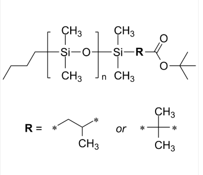
PDMS-COOC4H9 聚二甲基硅氧烷-叔丁酯 Poly(dimethylsiloxane), ω-(tert-butyl ester)-terminated
常常英文名称:聚二甲基硅氧烷-叔丁酯用英文怎么说简写:PDMS-COOC4H9英文怎么说全程:Poly(dimethylsiloxane), ω-(tert-butyl ester)-terminatedCAS号:n/a; PDMS: 9016-00-6/63148-62-9;氧化学式:[Si(CH3)2O]nCOOC4H9主链结构类型:直链均聚物核心成分表:PDMS亲疏水性树脂:疏水新产产品类别型:端基用途化装饰比较高的分数子荧光/发光字:无油漆颜色/社会形态:Viscous liquid含量:≤ 100%框架式:



pg电子娱乐游戏app
微信公众号
官方微信