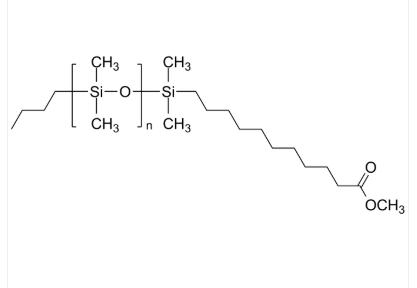
PDMS-C10COOMe 聚二甲基硅氧烷-十一酸甲酯 Poly(dimethylsiloxane), ω-(methyl undecanoate)-terminated
中文字幕公司名称:聚二甲基硅氧烷-国庆酸甲酯用英语缩写英文:PDMS-C10COOMe英文翻译称怎么读:Poly(dimethylsiloxane), ω-(methyl undecanoate)-terminatedCAS号:n/a; PDMS: 9016-00-6/63148-62-9;碳原子式:[Si(CH3)2O]n主链结构的:直链均聚物主要化学物质:PDMS亲疏丙烯酸乳液:疏水厂类目型:端基功能模块化表达好成绩子荧光/会亮:无外貌/价值形式:Viscous liquid色度:≤ 100%架构式:



pg电子娱乐游戏app
微信公众号
官方微信