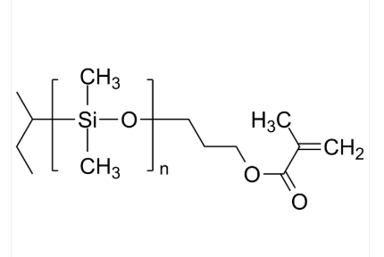
PDMS-MA 聚二甲基硅氧烷-甲基丙烯酸酯 Poly(dimethylsiloxane), ω-methacrylate-terminated
中文版名稱:聚二甲基硅氧烷-甲基亚克力 酯英文音标缩略词:PDMS-MA日文全名是:Poly(dimethylsiloxane), ω-methacrylate-terminatedCAS号:n/a; PDMS: 9016-00-6/63148-62-9;碳原子式:C4H9[Si(CH3)2O]nC7H11O2主链组成:直链均聚物首要组成成分:PDMS亲疏丙烯酸乳液:疏水成类目型:端基效果化呈现比较高的分数子荧光/有光:无铜网外观/特征:Viscous liquid纯净度:≤ 100%机构式:



pg电子娱乐游戏app
微信公众号
官方微信