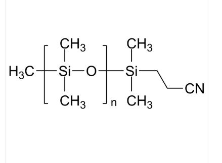
PDMS-CN 聚二甲基硅氧烷-氰基 Poly(dimethylsiloxane), ω-cyano-terminated
繁体中文称呼:聚二甲基硅氧烷-氰基国外英文名字简称:PDMS-CN用英语全名:Poly(dimethylsiloxane), ω-cyano-terminatedCAS号:n/a; PDMS: 9016-00-6/63148-62-9;团伙式:[C2H6OSi]nCN主链结构类型:直链均聚物关键因素:PDMS亲疏水:疏水物类目型:端基系统化突显高分数子荧光/夜光:无金属机身/基本特征:Viscous liquid饱和度:≤ 100%型式式:



pg电子娱乐游戏app
微信公众号
官方微信