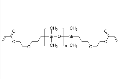
PDMS-2Acrylate/PDMS-2AC 聚二甲基硅氧烷-双丙烯酸酯 末端双键 Poly(dimethylsiloxane), α,ω-bis(acryloxy)-terminated
中文名字字名称大全:聚二甲基硅氧烷-双水性聚氨酯酯英文音标简写:PDMS-2AC英文怎么说全程:Poly(dimethylsiloxane), α,ω-bis(acryloxy)-terminatedCAS号:n/a; PDMS: 9016-00-6/63148-62-9碳原子式:C2H3COOC2H4OC3H6[Si(CH3)2O]nSi(CH3)2C3H6OC2H4OOCC2H3主链节构:直链均聚物常见化学物质:PDMS亲疏水溶性:疏水产品设备型号:端基用途化淡化高分数子荧光/亮光:无外观设计/形式:Viscous liquid含量:≤ 100%格局式:



pg电子娱乐游戏app
微信公众号
官方微信