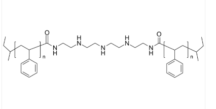
PS2-PEHA 聚苯乙烯 链中间含五乙烯六胺 Poly(styrene), with pentaethylene hexamine group in center of polymer chain
英语名公司名称:聚苯丁二烯 链上面含五丁二烯六胺英语简单来说就是:PS2-PEHA用英语全稱:Poly(styrene), with pentaethylene hexamine group in center of polymer chainCAS号:n/a; PS: 9003-53-6氧化学结构式:[C8H8]n主链成分:直链均聚物大部分组分:PS亲疏丙烯酸乳液:疏水护肤商品种类形:链中部淡化蒙题子荧光/亮光:无外型/社会形态:固态硬盘安装粉状或颗粒状(以现实的外型起算)饱和度:≤ 100%机构式:



pg电子娱乐游戏app
微信公众号
官方微信