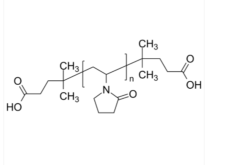
PNVP-2COOH 聚乙烯吡咯烷酮-双羧基/聚(N-乙烯基吡咯烷酮)-双羧基 Poly(N-vinyl pyrrolidone), α,ω-bis(carboxy)-terminated
中文字幕公司名称:聚(N-氯乙烯基吡咯烷酮)-双羧基英文翻译简单来说就是:PNVP-2COOH日语总称:Poly(N-vinyl pyrrolidone), α,ω-bis(carboxy)-terminated用英文怎么说又名:Bis(carboxy)-terminated poly(N-vinyl pyrrolidoneCAS号:n/a; PNVP: 9003-39-8原子式:C6H11O2(C6H9NO)nC6H11O2主链空间结构:直链均聚物大部分成份:PVP/PNVP亲疏水性聚氨酯:疏水好产产品类别型:端基特点化遮盖低分子式荧光/发亮:无外光/状态:固体粉状或颗料(以实计外光起算)纯净度:≤ 100%结构类型式:



pg电子娱乐游戏app
微信公众号
官方微信