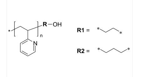
P2VP-OH 聚(2-乙烯基吡啶)-羟基 Poly(2-vinyl pyridine), ω-hydroxy-terminated
简体中文种类:聚(2-氯乙烯基吡啶)-羟基用英文怎么说缩略词:P2VP-OH英文版全名:Poly(2-vinyl pyridine), ω-hydroxy-terminated英文翻译俗名:Poly(2-vinylpyridine), mono-hydroxy-terminatedCAS号:n/a; P2VP: 25014-15-7碳原子式:[C7H7N)]nOH主链形式:直链均聚物主耍化学成分:P2VP亲疏水性树脂:疏水物料型:链端羟基高分数子荧光/会发光:无油漆颜色/结构:固体金属粉或科粒(以现场油漆颜色算起)纯净度:≤ 100%结构设计式:



pg电子娱乐游戏app
微信公众号
官方微信