常常称谓:珠露糖-紫杉醇
英文翻译名稱:mannose-Paclitaxel
俗称:紫杉醇淡化甘霖糖,PTX-甘霖糖
含量:95%+
贮存前提条件:-20°C,遮光,避湿
金属机身:粉状或黏性夜体,在于于氧分子量
PEG碳原子量可供选择:350、550、750、1k、2k、34k、5k
包裝:单瓶/包装袋
容解性:混溶大个部分巧妙稀释剂,如:DCM、DMF、DMSO、THF等等等等。在水含有比较好的溶解度性
准备项目:选用固定要潮湿,制止经常的溶解性和冻干
电话号码:昆明
服务商:广州pg电子娱乐游戏app 怪物
西安pg电子娱乐游戏app 生物还可以提供PEG接枝修饰甘露糖,甘露糖-聚乙二醇-紫杉醇,Paclitaxel-PEG-mannose,紫杉醇-PEG-甘露糖,紫衫醇分子式为C47H51NO14,相对性原子核重量853.91。紫杉醇为紫色析出性粉末状,无臭,无气味,难溶解水,溶解解甲醇、乙腈、氯仿、甲苯等可挥发溶液
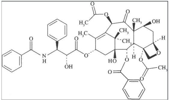
紫杉醇的构造式

NH2-PEG-mannose 甘霖糖-聚乙二醇-氨基
COOH-PEG-mannose 杨枝糖-聚乙二醇-羧酸
MAL-PEG-mannose 杨枝糖-聚乙二醇-马来酰亚胺
NHS-PEG-mannose 珠露糖-聚乙二醇-N-羟基虎珀酰亚胺
N3-PEG-mannose 甘霖糖-聚乙二醇-叠氮
Alkyne-PEG-mannose 甘霖糖-聚乙二醇-炔基
SH-PEG-mannose 甘霖糖-聚乙二醇-巯基
Biotin-PEG-mannose 珠露糖-聚乙二醇-生物学素
CHO-PEG-mannose 珠露糖-聚乙二醇-醛基
OPSS-PEG-mannose 珠露糖-聚乙二醇-巯基吡啶
OH-PEG-mannose 杨枝糖-聚乙二醇-羟基
Hydrazide-PEG-mannose 杨枝糖-聚乙二醇-酰基
商家:成都pg电子娱乐游戏app 生物技术科学非常有限我司以上的素材来于小编我axc,2022.11.17这些文章中讲到的物料仅于教学科研,并不能于人的身体。

pg电子娱乐游戏app
微信公众号
官方微信