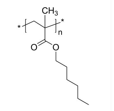
PnHMA 聚甲基丙烯酸正己酯 疏水高分子均聚物 Poly(n-hexyl methacrylate)
简体中文种类:聚甲基亚克力 正己酯英语简写:PnHMA日语被称为:Poly(n-hexyl methacrylate)CAS号:25087-17-6大化学式:[C10H18O2]n主链构成:直链均聚物核心因素:PnHMA亲疏水性树脂:疏水食类目型:常规化100分子式荧光/会发光:无外表设计/结构:固态硬盘安装或延展性溶液(以现实情况外表设计为基准)纯净度:≤ 100%成分式:



pg电子娱乐游戏app
微信公众号
官方微信