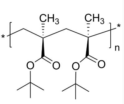
中文名称:聚甲基丙烯酸叔丁酯 等规
英语怎么说又称:PtBuMA英文翻译英文名称:Poly(tert-butyl methacrylate), isotacticCAS号:25189-00-8大化学结构式:(C8H14O2)n主链设计:直链均聚物大部分材质:PtBuMA亲疏水:疏水品牌类型的:常規得团伙荧光/亮光:无外在/行态:固体粉丝或颗料(以其实外在算起)溶解度:≤ 100%结构设计式:

木箱: 桶装贷款用途:用以医药学理论研究方案,口服药物发挥,纳米级高技术和新物料理论研究方案。知名品牌:pg电子娱乐游戏app
生态学產地:北京生产商:宝鸡pg电子娱乐游戏app
生物制品技术有现工司舒心显示系统:仅适用科技研究实验所,不是适用人休!银川pg电子娱乐游戏app
生物工程科技有限公司英文限制有限公司英文给予PLGA,PCL,PAMAM,PAA等缔合物的环保定制家具获得,给予最基本吸附性基团掩盖,荧光标上之类的。涉及到新产品:(α-alkyne,(Thiolated(Thiol(sulfonic(Rhodamine(RAFT)(Previously(Poly-L-lysine(PffBT4T-2OD)(PEG-linear(PDPP2T-TT-OD)