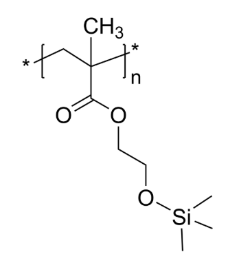
PHEMATMS 聚(三甲基硅氧基-2-甲基丙烯酸乙酯) 疏水高分子均聚物 Poly(trimethylsiloxy-2-ethyl methacrylate)
英文版名字:聚(三甲医院基硅氧基-2-甲基亚克力 乙酯)国外英文统称:PHEMATMS因为全名:Poly(trimethylsiloxy-2-ethyl methacrylate)用英文怎么说学名:Poly(2-[trimethylsilyloxy]ethyl methacrylate)CAS号:n/a; PHEMA: 25249-16-5分子结构式:[CH2C(CH3)CO2CH2CH2OSi(CH3)3]n主链构造:直链均聚物大部分化学成分:PHEMA亲疏水性树脂:疏水护肤品项型:基本100原子荧光/出现发亮:无的外观设计/体型:固态硬盘安装粉尘或颗粒肥料(以实际上的外观设计算起)纯净度:≤ 100%空间化学式:



pg电子娱乐游戏app
微信公众号
官方微信