新兴大环化学物质-大葫芦[5]脲/钢丝绳电动葫芦[7]脲/大葫芦[8]脲Cucurbit[n]uril的平稳性价格对比
咸阳pg电子娱乐游戏app 微生物生產和卖大环配体、环糊精、冠醚、杯芳烃等超原子涂料,批售一系统瓜环类化合物,大葫芦[5]脲,钢丝绳电动葫芦[6]脲,桃胡[7]脲,手捻葫芦[8]脲,五元瓜环、六元瓜环、七元瓜环、八元瓜环名词解释并衍生物。
葫芦[n]脲(Cucurbit[n]uril,n = 5~8,10,13~15), 是继冠醚、环糊精、杯芳烃之后备受瞩目的新一代主体分子,在分子识别、载药与释放、荧光成像、金属配位化学、超分子催化、超分子纳米反应器以及自组装超分子材料等领域中均展现出广阔的应用前景。
1.钢丝绳电动葫芦脲结晶体构成基本构成因素相对较:

2.钢丝绳电动葫芦[n]脲组成部分稳确定性较好:
a.固态葫芦脲具有很高的热稳定性,葫芦[5,6,8]脲加热到420℃仍不分解,而葫芦[8]脲在HCI中100°C下持续加热会转化为较小的葫芦脲。
b.通过环张力能计算,发现葫芦[6]脲稳定,葫芦[7]脲略差一些(环张力能约4.2 kJ/mol),而葫芦[5, 8]脲则要差的多(环张力能<25.2 kJ/mol)。
c.葫芦脲具有刚性结构,能够与分子和离子形成高选择性和稳定性的配合物,从而在超分子化学中有着**重要的应用。全羟基化葫芦[6]脲的尺寸与葫芦[6]脲相当,可以溶于DMSO、DMF等溶剂,重要的是羟基可以进一步衍生化,而具有巨大的应用潜力。
郑州pg电子娱乐游戏app 微食品科技有限责任我司有限责任我司多年大批量备外盘,能能市场销售如下瓜环好产品:
常见分类有:葫芦[5]脲(CB[5])、葫芦[6]脲(CB[6]), 葫芦[7]脲(CB[7]), 葫芦[8]脲(CB[8])
2英文种类:手捻葫芦脲
中文名又名:瓜环
英语怎么说名号:Cucurbit[n]uril
西安pg电子娱乐游戏app 生物科技有限公司提供葫芦[5]脲/葫芦[7]脲/葫芦[8]脲产品的基本信息:
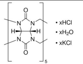
1.大葫芦[5]脲的大致的信息
中文版名 | 葫芦[5]脲 |
英文版全名是 | Cucurbit[5]uril hydrate |
CAS: | 259886-49-2 |
大分子结构 | C30H30N20O10 |
的结构简式 |
|
批售商 | 北京pg电子娱乐游戏app 怪物科技发展有效工厂 |
高端定制服务质量 | 能能保证甲基与羟基掩盖手捻葫芦脲5 |
2.大葫芦[6]脲的最基本资讯
中文版名 | 葫芦[6]脲 |
用英文怎么说英文名称 | Cucurbit[6]uril hydrate |
碳原子式 | C36H36N24O12 |
CAS | 80262-44-8 |
原子核量 | 1669 |
形式式 |
|
出售商 | 深圳pg电子娱乐游戏app 海洋生物网络有限的司 |
制定服务培训 | 就能够给出甲基与羟基淡化手捻葫芦脲6 |
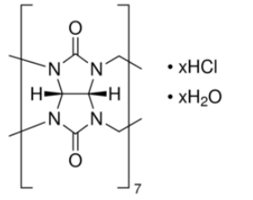
3.胡芦[7]脲的一般图片信息
中文名:葫芦[7]脲 | |
用英语称怎么读 | Cucurbit[7]uril hydrate |
形式式 |
|
CAS: 259886-50-5 | |
化学结构式式 4 | C42H42N28O1 |
原子量 | 1162.96 |
现货零售商 | 郑州pg电子娱乐游戏app 怪物社会有限责任公司 |
开发服务项目 | 甲基与羟基掩盖大葫芦脲7 |
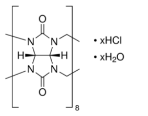
4.钢丝绳电动葫芦[8]脲的主要新信息
英文版简称 | Cucurbit[8]uril hydrate |
简体中文简称 | 葫芦[8]脲 |
用英文怎么说美称 | Cucurbit[8]uril |
机构式: |
|
分子结构式 | C48H48N32O16 |
分子式量 | 1329.10 |
CAS号 | 259886-51-6 |
生产商商 | 银川pg电子娱乐游戏app 生物工程科技有限的大公司有限的大公司 |
私人定制安全服务 | 可以提供数据甲基与羟基掩盖胡芦脲8 |
上面的的资料出自郑州pg电子娱乐游戏app 动物新材料技术比较有限总部
Xi'an qiyue Biological Technology Co;Ltd
![新型大环化合物-葫芦[5]脲/葫芦[7]脲/葫芦[8]脲Cucurbit[n]uril的稳定性对比-UDP糖丨MOF丨金属有机框架丨聚集诱导发光丨荧光标记推荐西安pg电子娱乐游戏app
生物](/images/logo.png)





pg电子娱乐游戏app
微信公众号
官方微信