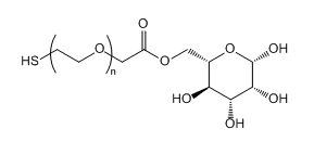
巯基-聚乙二醇-甘露糖 英文名称:SH-PEG-Mannose 英文别名: Thiol-PEG-Mannose 产品纯度: ≥95%
中文字简称:巯基-聚乙二醇-珠露糖因为名稱:SH-PEG-Mannose用英语别号:Thiol-PEG-Mannose产品的纯净度:≥95%机构式:



pg电子娱乐游戏app
微信公众号
官方微信