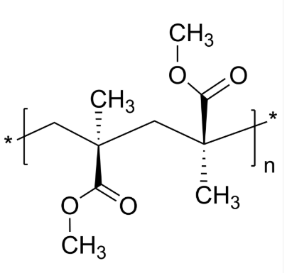
PMMA 聚甲基丙烯酸甲酯 间规(>85%) 疏水高分子均聚物 Poly(methyl methacrylate), syndiotactic (>85%)
英文姓字名字大全:聚甲基亚克力甲酯 间规(>85%)因为名字简称:PMMA因为称怎么读:Poly(methyl methacrylate), syndiotactic (>85%)英文翻译又名:poly(methacrylic acid methyl ester)CAS号:9011-14-7分子结构式:[CH2C(CH3)CO2CH3]n主链的结构:直链均聚物首要成份:PMMA亲疏水溶性:疏水企业产类目型:常规的提原子核荧光/会发光:无的外观设计/状态:固体粉沫或颗粒物(以事实的外观设计是以)纯净度:≤ 100%的化学式:



pg电子娱乐游戏app
微信公众号
官方微信