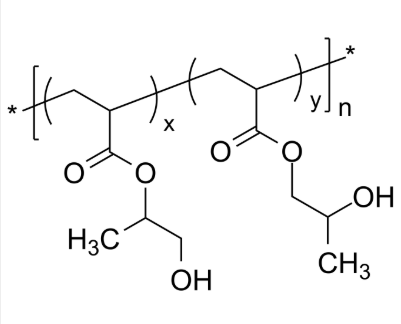
PHPA 聚(2-羟丙基丙烯酸酯) 疏水高分子均聚物 Poly(2-hydroxypropyl acrylate)
中文版标题:聚(2-羟丙基亚克力酯)日语也叫:PHPA用英语称怎么读:Poly(2-hydroxypropyl acrylate)英文翻译学名:Poly(hydroxypropyl acrylate)CAS号:32029-53-1大分子结构:[CH2CH(CO2C3H6OH)]n主链格局:直链均聚物核心材质:PHPA亲疏水性聚氨酯:疏水品牌类别:规范涨分子结构荧光/出现发亮:无美观/状态:固体粉化或颗料(以现实情况美观起算)饱和度:≤ 100%组成部分式:



pg电子娱乐游戏app
微信公众号
官方微信