甘露糖-透明质酸,甘露糖-聚乙二醇-透明质酸,Hyaluronicacid-PEG-mannose
珠露糖-黑色质酸,珠露糖-聚乙二醇-黑色质酸,Hyaluronicacid-PEG-mannose
汉语英文名称:杨枝糖-透明色质酸
国外英语名称大全:mannose-Hyaluronicacid
俗称:透明度质酸突显珠露糖,HA-珠露糖
溶解度:95%+
内存的条件:-20°C,遮光,避湿
金属机身:无水硫酸铜或粘结性液滴,源于于原子核量
PEG大分子量可供选择:350、550、750、1k、2k、34k、5k
进行包装:成瓶/整袋
融掉性:混溶大的部分有机物石油醚,如:DCM、DMF、DMSO、THF等一等。在水含有极好的溶解出来性
目光相关事宜:倒取必要要缺水,避免出现的频繁的溶解出来和冻干
ip地址:郑州
企业:陕西pg电子娱乐游戏app 怪物
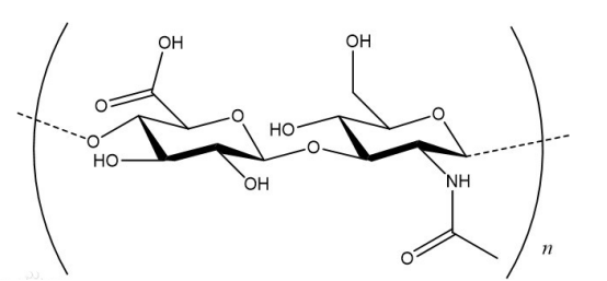
透明体质酸,又说玻血尿酸,分子结构式是(C14H21NO11)n,是D-提子糖醛酸及N-乙酰葡糖胺组成的双糖单位糖胺聚糖。西安pg电子娱乐游戏app 生物还可以提供PEG接枝修饰甘露糖,甘露糖-聚乙二醇-透明质酸,Hyaluronicacid-PEG-mannose,透明质酸-PEG-甘露糖

石家庄pg电子娱乐游戏app
动物还会出具PEG接枝修饰语杨枝糖,杨枝糖-聚乙二醇-聚乙稀亚胺,PEI-PEG-mannose,聚丁二烯亚胺-PEG-甘霖糖
相关产品目录:
人血清廉球蛋白-PEG-珠露糖
转铁蛋清-PEG-甘霖糖
冬小麦胚凝集素-PEG-珠露糖
链霉亲和素-PEG-杨枝糖
肝素-PEG-甘霖糖
刀豆球蛋清A-PEG-甘霖糖
过钝化氢酶-PEG-甘霖糖
胰岛素-PEG-珠露糖
络蛋白质-PEG-杨枝糖
卵清蛋白酶-PEG-珠露糖
凝集素-PEG-甘霖糖
甲氨蝶呤-PEG-甘霖糖
紫杉醇-PEG-甘霖糖
阿霉素-PEG-杨枝糖
顺铂-PEG-珠露糖
环丙沙星-PEG-珠露糖
厂商:银川pg电子娱乐游戏app 生物工程自动化限制厂家之上材料出自今天axc,2022.11.14上面的文章中提过的商品仅中用科研工作,没能中用机体。

pg电子娱乐游戏app
微信公众号
官方微信