DOPE-杨枝糖,DOPE-PEG-mannose,二油酰基磷脂酰甲醇胺-PEG-杨枝糖
中文名名号:甘霖糖-二油酰基磷脂酰工业乙醇胺
国外英文明称:mannose-DOPE
別名:DOPE突显甘霖糖,DOPE-珠露糖
色度:95%+
存放因素:-20°C,遮光,避湿
颜色:膏状或黏性液态物质,衡量于大分子量
PEG分子结构量可以选择:350、550、750、1k、2k、34k、5k
纸盒包装:瓶裝/大袋
析出性:溶解大这部分充分萃取剂,如:DCM、DMF、DMSO、THF等等这些。在水中含最好的溶解出来性
目光须知:运用必须要干涩,制止反复的溶水和冻干
IP地址:北京
加工厂:山东pg电子娱乐游戏app 海洋生物
杨枝糖为小白晶状体或心得粉沫,无臭,极具恬静咸味,味甜带苦。+29.3°(水)。甜度约为绵白糖的57%~72%。每g会产生8.37J 脂肪含量,约为巨峰葡萄糖水的一部分。含一少部分山梨糖醇。相较导热系数1.49。旋光率[α]D20º;-0.40º;(10%水悬浊液)。吸水性较小。水饱和溶液不稳定性。甘霖糖底层的水中析出度:2480 g/L(17°C),对稀酸、稀碱平稳。分α-型和β-型两类。α-型为甲基的析出,融点133℃ ;β-型为乙基的晶粒,沸点 132 ℃(分解成点)。-17°→+14.6°(水)可溶于水(250%),难不能溶解乙酸乙酯(0.4%),不溶于乙醚。武汉pg电子娱乐游戏app 动物可带来PEG接枝遮盖杨枝糖,杨枝糖-聚乙二醇-二油酰基磷脂酰无水乙醇胺,DOPE-PEG-mannose,二油酰基磷脂酰工业乙醇胺-PEG-杨枝糖
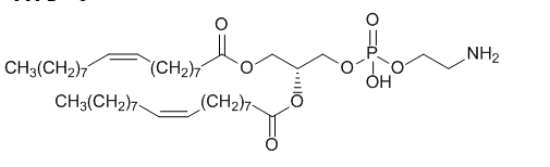
二油酰基磷脂酰无水乙醇胺DOPE的结构简式

氨基-PEG-珠露糖
羧酸-PEG-杨枝糖
马来酰亚胺-PEG-杨枝糖
N-羟基虎珀酰亚胺-PEG-珠露糖
叠氮-PEG-杨枝糖
炔基-PEG-珠露糖
巯基-PEG-杨枝糖
怪物素-PEG-杨枝糖
醛基-PEG-甘霖糖
巯基吡啶-PEG-珠露糖
羟基-PEG-甘霖糖
酰基-PEG-杨枝糖
硅烷-PEG-甘霖糖
丙烯酸酯酯-PEG-珠露糖
硫心路历程-PEG-甘霖糖
甲苯磺酸酯-PEG-杨枝糖
氨甲基-PEG-甘霖糖
硝基苯碳酸盐-PEG-甘霖糖
制造厂:山东pg电子娱乐游戏app 怪物科技开发不足大公司大于材料出自于就axc,2022.11.14以上的从文中讲过的食品仅代替科研管理,没法代替人的身体。

pg电子娱乐游戏app
微信公众号
官方微信