PPO-OCH3 37286-64-9 聚环氧丙烷-烷基或苯基醚 疏水高分子均聚物 Poly(propylene oxide), alkyl or phenyl ether
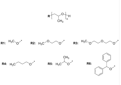
常常命名:聚环氧防锈漆丙烷-烷基或苯基醚因为简写:PPO-OCH3因为全名:Poly(propylene oxide), alkyl or phenyl ether日文别号:Poly(propylene glycol) methyl etherCAS号:37286-64-9化学式式:CH3[OCH2CHCH3]nOH主链组成:直链均聚物主耍组成:PPO亲疏水性树脂:疏水企业产种型号:链端羟基提分子结构荧光/亮光:无铜网外观/形态特征:Liquid, viscous liquid色度:≤ 100%形式式:



pg电子娱乐游戏app
微信公众号
官方微信