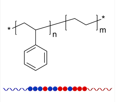
PS-PE-tapered 聚苯乙烯-聚乙烯 递变二嵌段共聚物 Poly(styrene)-b-poly(ethylene), tapered diblock copolymer
简体中文种类:聚苯氯氯乙烯-聚氯氯乙烯英文音标名字简称:PS-PE-tapered英语怎么说简称:Poly(styrene)-b-poly(ethylene), tapered diblock copolymer英文翻译又名:Poly(styrene)-b-poly(methylene), Poly(styrene-block-ethylene)CAS号:n/a; PS: 9003-53-6; PE: 9002-88-4碳原子式:[C8H8]n [C2H4]m主链空间结构:二嵌段共聚物关键材料:PS亲疏丙烯酸乳液:疏水产品的型号:常規提分子式荧光/发光字:无外装/社会形态:nvme固态粉未或粉末(以实际上的外装为标准)饱和度:≤ 100%结构设计式:



pg电子娱乐游戏app
微信公众号
官方微信