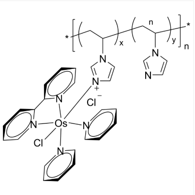
PVIMDZQ-Osmium 聚(N-乙烯基咪唑)-双[2,2-联吡啶-N,N']-锇(II)配合物季铵化 两性离子聚合物 Poly(N-vinyl imidazole)
中文翻译标题:聚(N-乙稀基咪唑)-双[2,2-联吡啶-N,N']-锇(II)做好物季铵化用英文怎么说简称英文:PVIMDZQ-Osmium用英语它的全称:Poly(N-vinyl imidazole, quaternized with bis[2,2-bipyridine-N,N']-Osmium(II) complex)CAS号:n/a; PVIMDZQ: 25232-42-2碳原子式:(C5H6N2)n / C20H16Cl2N4Os主链结构特征:直链均聚物最主要成份:PVIMDZQ亲疏水:亲水车辆类:两性关系铁离子汇聚物荧光/有光:无看/价值形式:固态硬盘粉化或科粒(以合理看是以)饱和度:≤ 100%格局式:

![PVIMDZQ-Osmium 聚(N-乙烯基咪唑)-双[2,2-联吡啶-N,N']-锇(II)配合物季铵化 两性离子聚合物 Poly(N-vinyl imidazole)-UDP糖丨MOF丨金属有机框架丨聚集诱导发光丨荧光标记推荐西安pg电子娱乐游戏app
生物](/images/logo.png)

pg电子娱乐游戏app
微信公众号
官方微信