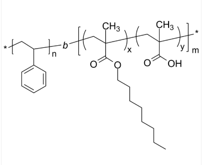
繁体中文字:聚苯丁二烯-聚(甲基丙稀酸壬酯-co-甲基丙稀酸)英文字母代称:PS-PNMAMAAran英文版全名:Poly(styrene)-b-poly(nonyl methacrylate-co-methacrylic acid)国外英文别号:Poly(styrene-block-[nonyl methacrylate-co-methacrylic acid])CAS号:n/a; PS: 9003-53-6; PMAA: 25087-26-7原子式:[C8H8]n [(C13H24O2)x(C4H6O2)y]m主链组成部分:二嵌段共聚物重点组分:PS亲疏水溶性:两亲性产品设备类:长规最高大分子荧光/变色:无的铜网外观/结构:nvme固态纳米银溶液或颗粒肥料(以现场的铜网外观为基准)色度:≤ 100%的化学结构式:

包裝: 玻璃瓶的主要用途:用以医学检验分析,治疗药物挥发,奈米技术性和新食材分析。加盟品牌:pg电子娱乐游戏app
海洋生物产址:咸阳厂家直销商:郑州pg电子娱乐游戏app
生物工程信息技术有限制限公司舒心的提示:仅使适用于科研项目实验报告,没能使适用于人体内!广州pg电子娱乐游戏app
海洋生物网络非常建筑有限公司提拱PLGA,PCL,PAMAM,PAA等整合物的来样加工合成视频,提拱常规化学活化基团表达,荧光标记符号孩他。有关的的产品:glycol)-poly(trimethyleneglycol)-Poly(glycolide)glycol)-b-polyethyleneimineglycol)-b-poly(lactide-co-glycolide)glycol)-b-poly(delta-valerolactone)glycol)-b-poly(D,L-lactide)glycol)-b-poly(caprolactone)glycol)-block-poly(L-asparticGlutarate)GlucoseGAS-PEG-GAS