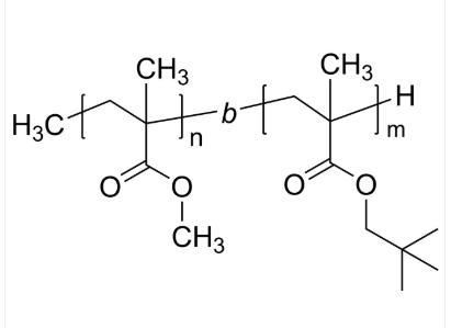
PMMA-PNPMA 聚甲基丙烯酸甲酯-聚甲基丙烯酸新戊酯 二嵌段共聚物 Poly(methyl methacrylate)-b-poly(neopentyl methacrylate)
简体中文命名:聚甲基水性聚氨酯甲酯-聚甲基水性聚氨酯新戊酯英文字母简单来说就是:PMMA-PNPMA英文翻译全名是:Poly(methyl methacrylate)-b-poly(neopentyl methacrylate)日语又名:Poly(methyl methacrylate-block-neopentyl methacrylate); Poly(neopentyl methacrylate)-b-poly(methyl methacrylate)CAS号:n/a; PMMA: 9011-14-7; PNPMA: 34903-87-2碳原子式:[C5H8O2]n [C9H16O2]m主链机构:二嵌段共聚物通常成分表:PNPMA亲疏水性聚氨酯:疏水的产商品种类别:烷基封端夺大分子荧光/变色:无外型/姿态:固态硬盘安装纳米银溶液或粒子(以实际的外型起算)色度:≤ 100%设备构造式:



pg电子娱乐游戏app
微信公众号
官方微信