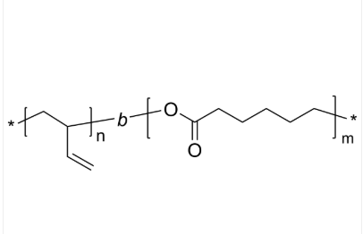
PBd-PCL 聚(1,2-丁二烯)-聚己内酯 二嵌段共聚物 Poly(1,2-butadiene)-b-poly(ε-caprolactone)
PBd-PCL 聚(1,2-丁二烯)-聚己内酯 二嵌段共聚物 Poly(1,2-butadiene)-b-poly(ε-caprolactone) 汉语称谓:聚(1,2-丁二烯)-聚己内酯国外英文全称:PBd-PCL英文怎么说简称:Poly(1,2-butadiene)-b-poly(ε-caprolactone)国外英文俗名:Poly(butadiene-block-ε-caprolactone), Poly(butadiene-block-6-caprolactone), poly(butadiene-block-2-oxepanone)CAS号:n/a; PBd: 9003-17-2; PCL: 24980-41-4原子核式:[C4H6]n [C6H10O2]m主链组成:二嵌段共聚物大部分成份:PCL亲疏丙烯酸乳液:疏水新产商品型:生物技术溶解100分子式荧光/亮光:无外觀/社会形态:固态硬盘安装颗粒物或颗粒物(以实际上外觀来算)色度:≤ 100%框架式:



pg电子娱乐游戏app
微信公众号
官方微信