PS-PNMAMAAran 聚苯乙烯-聚(甲基丙烯酸壬酯-co-甲基丙烯酸) 两亲性二嵌段共聚物
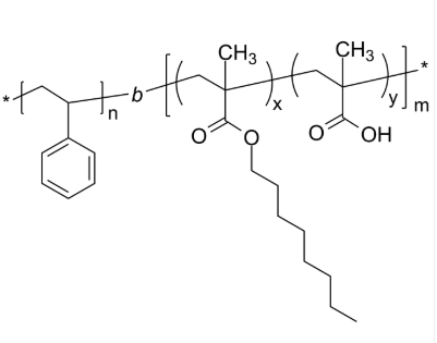
中文翻译分类:聚苯氯乙烯-聚(甲基水性聚氨酯壬酯-co-甲基水性聚氨酯)日文俗称:PS-PNMAMAAran英语它的全称:Poly(styrene)-b-poly(nonyl methacrylate-co-methacrylic acid)英文怎么说学名:Poly(styrene-block-[nonyl methacrylate-co-methacrylic acid])CAS号:n/a; PS: 9003-53-6; PMAA: 25087-26-7碳原子式:[C8H8]n [(C13H24O2)x(C4H6O2)y]m主链机构:二嵌段共聚物关键营养成分:PS亲疏水性聚氨酯:两亲性商商品种内型:通常低碳原子荧光/有光:无美观/体型:固态硬盘碎末或颗料(以实际效果美观是以)纯净度:≤ 100%成分式:



pg电子娱乐游戏app
微信公众号
官方微信