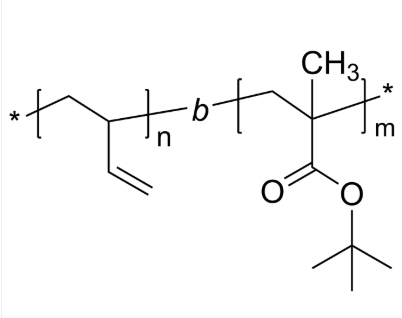
PBd-PtBuMA 聚(1,2-丁二烯)-聚甲基丙烯酸叔丁酯 二嵌段共聚物 Poly(1,2-butadiene)-b-poly(tert-butyl methacrylate)
PBd-PtBuMA 聚(1,2-丁二烯)-聚甲基水性聚氨酯叔丁酯 二嵌段共聚物 Poly(1,2-butadiene)-b-poly(tert-butyl methacrylate) 2英文命名:聚(1,2-丁二烯)-聚甲基亚克力 叔丁酯英文版统称:PBd-PtBuMA英文版中文名称:Poly(1,2-butadiene)-b-poly(tert-butyl methacrylate)国外英文学名:Poly(butadiene-block-t-butyl methacrylate)CAS号:n/a; PBd: 9003-17-2; PtBuMA: 25189-00-8化学式式:[C4H6]n [C8H14O2]m主链设计:二嵌段共聚物大部分化学成分:PBd亲疏水溶性:疏水产品的类别:基本满分子式荧光/出现发亮:无外光/形式:固定粉状或颗粒剂(以合理外光为标准)含量:≤ 100%结构类型式:



pg电子娱乐游戏app
微信公众号
官方微信