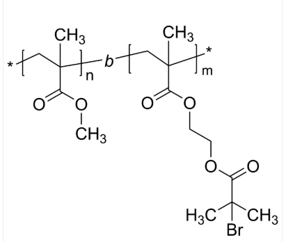
PMMA-PBrIEMA 聚甲基丙烯酸甲酯-聚(2-[2-溴异丁酸酯]-甲基丙烯酸乙酯) 二嵌段共聚物
英文版名号:聚甲基水性聚氨酯甲酯-聚(2-[2-溴异丁酸酯]-甲基水性聚氨酯乙酯)英语代称:PMMA-PBrIEMA英语怎么说总称:Poly(methyl methacrylate)-b-poly(2-[2-bromoisobutyryloxy]-ethyl methacrylate)日语俗名:Poly(methyl methacrylate-block-2-[2-bromoisobutyryloxy]ethyl methacrylate)CAS号:n/a; PMMA: 9011-14-7大化学结构式:[C5H8O2]n[C10H15BrO4]m主链设计:二嵌段共聚物通常组分:PMMA亲疏水性聚氨酯:疏水的产不断研发创新型:正规好的成绩子荧光/变色:无表面/形式:固态硬盘安装碎末或粒子(以现实情况表面为标准)溶解度:≤ 100%结构类型式:

![PMMA-PBrIEMA 聚甲基丙烯酸甲酯-聚(2-[2-溴异丁酸酯]-甲基丙烯酸乙酯) 二嵌段共聚物-UDP糖丨MOF丨金属有机框架丨聚集诱导发光丨荧光标记推荐西安pg电子娱乐游戏app
生物](/images/logo.png)

pg电子娱乐游戏app
微信公众号
官方微信