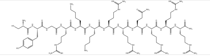
英文名称:CYGRKKRRQRRR
英语别号:CTAT;CYS-TAT(47-57)
CAS号 583836-55-9
分子量 1661.99
密度单位 N/A货品解释:该肽分属于TAT血清的血清转导组成域,由碱化的半胱氨酸残基C(Npys)合出,这里面Npys是3-硝基-2-吡啶磺基,使用碱化半胱氨酸的S和飞速化学反应构成式:

职位:科研管理产于:咸阳提供商:昆明pg电子娱乐游戏app
生物学科枝现有单位兰州pg电子娱乐游戏app
怪物科技信息有限制平台自定义现货供应人工视频磷脂、PEG磷脂、两亲嵌段共聚物,磁块奈米颗粒剂,奈米金,荧光量子点及枝条状缩聚物、PEG衍怪物特点產品.可供标准磷脂聚己内酯、PEG磷脂,改良磷脂,荧光箭头磷脂、缩聚物磷脂、磷脂偶连硅化物奈米资料及微球类资料、单减少小原子核PEG磷脂偶连產品,还可会根据玩家需用自定义人工视频冗杂及特俗的缩聚物磷脂產品。舒适系统提示:仅用到研究科学试验!任何厂品:PCL(12K)-PEG-MalPCL(10K)-PEG-SCPCL(10K)-PEG-NH2PAA(2K)-PEG-NH2OH-PEG-RGDOH-PEG-PLA(3K)OH-PEG-PI(38K)OH-PEG-PCL(2K)OH-PEG-AA-C30NTA-PEG-NTANTA-PEG-FITCNTA-PEG-BiotinNHS-PEG-RGDNH2-PEG-TPP