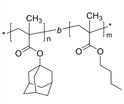
PADMMA-PnBuMA 聚(1-金刚烷基甲基丙烯酸酯)-聚甲基丙烯酸正丁酯 二嵌段共聚物
PADMMA-PnBuMA 聚(1-金刚烷基甲基水性聚氨酯酯)-聚甲基水性聚氨酯正丁酯 二嵌段共聚物 英文姓品牌:聚(1-金刚烷基甲基水性聚氨酯酯)-聚甲基水性聚氨酯正丁酯英语简称为:PADMMA-PnBuMA英语怎么说称怎么读:Poly(1-adamantyl methacrylate)-b-poly(n-butyl methacrylate)日语学名:Poly(1-adamantyl methacrylate-block-n-butyl methacrylate)CAS号:n/a; PnBuMA: 9003-63-8团伙式:[C14H20O2]n[C8H14O2]m主链架构:二嵌段共聚物最主要的材料:PADMMA亲疏水性聚氨酯:疏水產商品型:平时夺团伙荧光/夜光:无美观/结构:固体粉化或颗粒剂(以事实上美观来算)溶解度:≤ 100%结构设计式:



pg电子娱乐游戏app
微信公众号
官方微信