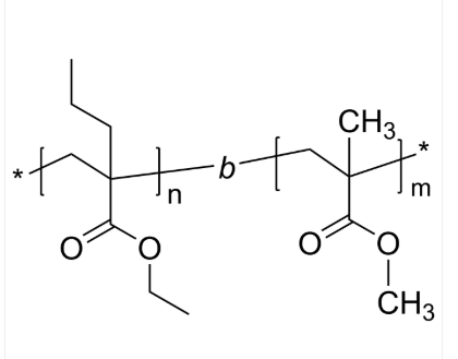
PEtPrA-PMMA 聚(α-丙基丙烯酸乙酯)-聚甲基丙烯酸甲酯 二嵌段共聚物 Poly(ethyl α-propyl acrylate)-b-poly(methyl methacrylate)
PEtPrA-PMMA 聚(α-丙基亚克力 乙酯)-聚甲基亚克力 甲酯 二嵌段共聚物 Poly(ethyl α-propyl acrylate)-b-poly(methyl methacrylate) 2英文名字:聚(α-丙基亚克力 乙酯)-聚甲基亚克力 甲酯国外英文缩写:PEtPrA-PMMA英语翻译全名:Poly(ethyl α-propyl acrylate)-b-poly(methyl methacrylate)用英语别称:Poly(ethyl 2-propyl acrylate-b-methyl methacrylate); Poly(ethyl α-propyl acrylate-block-methyl methacrylate).CAS号:n/a; PMMA: 9011-14-7原子式:[C8H14O2]n[C5H8O2]m主链成分:二嵌段共聚物具体成分表:PMMA亲疏水性聚氨酯:疏水好产商品种性质:正常最高原子荧光/出现发亮:无外形/特征:固态硬盘安装粉丝或粒子(以实际上外形起算)溶解度:≤ 100%的化学结构式:



pg电子娱乐游戏app
微信公众号
官方微信